
影响高分子材料性能的因素很多,如分子结构修饰、热处理条件、温度和压力等。MAPS平台简便、准确的描述高分子材料结构及性能(气体分离、吸附等温线),从微观上理解高分子材料结构与性能关系,给新型多孔材料、透气膜等新材料开发提供新思路。MAPS平台提供专业的交联结构建模工具。 
	  
	MAPS平台描述透气膜的各项性质及渗透性能
 
	
	
		理论值:密度:1.423g/ml,溶解度参数:21.76[J/mol3]1/2 
	
	
		实验值:密度:~1.43g/ml,溶解度参数:~22[J/mol3]1/2
 
	
	
		 
	


	
		玻璃化转变温度
 
	
	
		 
		
			玻璃化转变温度:实验值:~330度  理论值:317.96度 
		
	 
 
	
		
	
	
		吸附等温线 
	
 
	
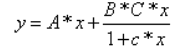
		双吸附模型拟合,得到亨利常数为9.22*10-3
 
	
	
		 
 
		
			扩散系数 
		

		
			扩散系数:D=3.3*10-8cm2/s 
		
		
			渗透系数:3.043*10-10 cm3·cm-3·cmHg-1 
		
		
			抗指纹膜 
		


		
			高分子材料力学性能
 
		
		
			 
 
			
				塑料力学性能 - 交联建模功能 
			
 
			
				环氧树脂EPON-862与固化剂DETDA模型 
			
			
				---------------------------------------------------------------------------------------- 
			
			
				案例中涉及的模块有: 
			
			
				(1)MAPS Platform界面平台 
			
			
				(2)LAMMPS-Atomistic分子动力学计算模块。 
			
			
				(3)Amorphous Builder无定型结构建模模块。 
			
			
				(4)Towhee 蒙特卡洛方法计算模块。如模拟多孔材料(如沸石、高分子膜、石墨烯和纳米碳管)和表面的吸附性能。 
			
			
				(5)Elastic properties 预测材料弹性性质分析模块。如测材料的应力应变曲线、杨氏模量和泊松比。 
			
			
				(6)Cross-Link Builder 交联结构建模模块。如树脂、橡胶和聚合物等模型。
 
			
			
				 
			
			
				  MAPS材料及化工过程设计平台是一款多尺度、可扩展的平台;能实现科研工作者:对全品类材料的建模、模拟、分析,进而预测和筛选材料的行为。MAPS软件可应用于从量子化学计算到中尺度计算。MAPS软件适合描述含能材料、离子液体、高分子材料、合金材料、复合材料、电池材料等性质。