首页
关于我们
公司介绍
联系我们
加入我们
MAPS软件
建模
模拟
QUANTUM
CLASSICAL
ENGINEERING
EXTRA
分析
预测材料弹性性质分析模块
反应动力学分析模块
应用案例
硬件平台
文献列表
2018
2017
2016
其他软件
机时
技术支持
在线视频
资料下载
试用申请
咨询服务
服务介绍
服务领域
服务案例
新闻活动
活动新闻
产品新闻
行业新闻
首页
>>
应用领域
>>
ReaxFF 方法模拟多环芳香烃的热分解
您所在的位置:
ReaxFF 方法模拟多环芳香烃的热分解
来源:
|
作者:
pmo878164
|
发布时间:
2020-02-26
|
334
次浏览
|
分享到:
使用模块:Platform、Amorphous Builder、LAMMPS、ReaxFF
多环芳香烃(PAHS)是有机混合物,由多个芳香环键合或粘接形成,具有很强的非局域化电子。PAHS 多存在于化石燃料,如原油,但也能通过高温反应合成。了解 PAHs 的热稳定性是多个工业过程中的关键问题,如原油的热解或高温反应。更重要的是深层次理解炭黑或烧炭在上述过程中的形成机理,对化工过程非常重要,并已经广泛在 PAHS 化合物热解实验中研究。萘衍生物属于较小的 PAHS 混合物,经常用来代表复杂 PAHS 分子,进行建模。实验表明甲基取代基的位置和数目对萘衍生物性质有较大影响。本案例基于分子尺度研究取代基对 PAHS 分子稳定性影响和热分解过程的热依赖性。
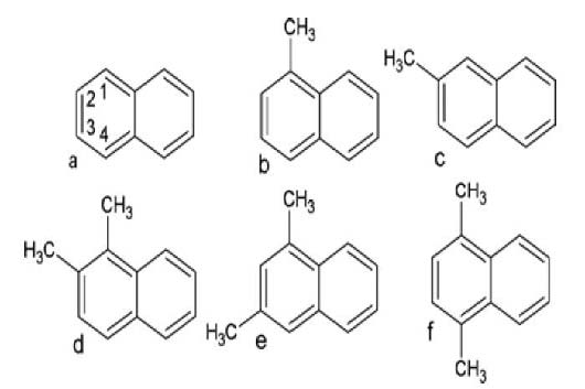
(A)Naph, (B)1-MNaph, (C)2-MNaph,
( D ) 1 , 2 - M N a p h , ( E ) 1 , 3 - M N a p h ,
(F)1,4MNaph
1-MNaph 3500K
PAHS 的热分解经常伴随炭黑或烧炭的产生。甲基取代基的位置不仅影响动力学性质,而且严重影响反应的热力学性质。甲基取代基的数目直接影响奈衍生物的数量,而其位置主要影响动力学性质,即甲基取代基在某些位置加速反应进行。炭黑的生成分三步骤:i) 奈衍生物的活化,ii) 活化混合物的二聚或三聚反应,iii) 凝聚,而温度对凝聚过程有很大影响。
不同温度下 C 踪迹
From:Robin Chaudret, energy&fuls 2016
上一篇:
燃料电池 -高性能高分子电解质膜研究
下一篇:
塑料 -交联结构对材料的影响
MAPS软件
建 模
模 拟
QUANTUM
CLASSICAL
ENGINEERING
EXTRA
分 析
预测材料弹性性质分析模块
反应动力学分析模块
应用案例
硬件平台
文献列表
2018年
2017年
2016年