
航空和航运目前约占人为二氧化碳排放总量的8%,旅游业和全球贸易的增长预计将进一步增加这一比例。可充电电池提供能量的电动车使碳中和的运输是可行的,但如果不能长途商业旅行,特别是航空旅行,其仍面临挑战。一个很有希望的解决方案是通过太阳能驱动的过程从H2O和CO2中获得燃料(石油衍生液体碳氢化合物燃料的合成替代品,如煤油、汽油或柴油)。在许多可能的方法中,使用聚焦太阳辐射作为高温过程热源的热化学路径提供了潜在的高生产率和高效率,并且如果所需CO2直接从大气中获得,则可以提供真正的碳中和的燃料。如果还从空气中共同提取H2O,则原料来源和燃料生产可集中在阳光照射强烈且水资源有限的沙漠地区。
有鉴于此,瑞士苏黎世联邦理工学院的Steinfeld Aldo等研究人员,报道了用阳光和空气生产燃料。

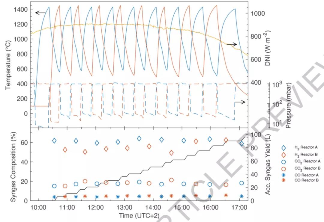
研究人员同时实施了该计划的各个步骤,演示了整个热化学太阳能燃料生产链的运行,从直接从环境空气中捕获的H2O和CO2到运输燃料(如甲醇、煤油)的合成,采用模块化的5千瓦中试规模太阳能系统在实际现场条件下运行。

研究人员将进一步确定研发工作,并讨论将这些太阳能燃料推向市场所需的经济可行性和政策。
Remo Schäppi, et al. Drop-in Fuels from Sunlight and Air. Nature, 2021.
DOI:10.1038/s41586-021-04174-y
https://www.nature.com/articles/s41586-021-04174-y